Luna 通用探针一步法 RT-qPCR 试 剂盒
Download:
-
- isoschizomers |
- compatible ends |
- single letter code
相关产品
性能与使用

概述
Luna 通用探针一步法 RT-qPCR 试剂盒组成:
– Luna 一步法酶混合液

– Luna 一步法酶混合液
使用探针法 qPCR,快速、灵敏、精准的对目标 RNA 进行检测和定量
Luna 通用探针一步法 RT-qPCR 试剂盒(无 ROX)经过优化,适用于水解探针法的 RNA 实时定量。一步法 RT-qPCR 为 RNA 检测和定量提供了一种便捷、强大的方法。在同一管中,RNA 首先由反转录酶转化为 cDNA,然后使用 DNA 依赖型 DNA 聚合酶扩增 cDNA,从而可以进行 qPCR 定量。基于探针法的 qPCR / RT-qPCR 原理是利用聚合酶的 5´ → 3´ 外切酶活性,将淬灭的目标特异性探针切断发出荧光,并实时监测荧光值的增加,以测量 PCR 每个循环中的 DNA 扩增。在荧光信号显著超过背景荧光的位置,可以确定 Cq 值。Cq 值可用于评估两个或多个样品的靶基因相对丰度,通过已知稀释浓度样品的标准曲线,可对靶基因进行绝对定量。



以下试剂随产品提供
|
储存温度 (°C) |
浓度 |
|
|
Luna® Probe One-Step Reaction Mix (No ROX) |
-20 |
2 X |
|
Luna® WarmStart® RT Enzyme Mix |
-20 |
20 X |
|
Nuclease-free Water |
-20 |
Luna 通用 qPCR 预混液
·15 分钟内完成 cDNA 第一链的合成
·与 Luna qPCR 预混液搭配使用,RT-qPCR 效果更优异
LunaScript SuperMix 反转录试剂盒是经过优化的预混液,用于两步法 RT–qPCR 的第一步 cDNA 第一链合成。该预混液最具特色的是采用了耐热 Luna 反转录酶,可在高温下合成 cDNA。预混液中的小鼠 RNase 抑制剂可保护模板 RNA 不被降解。在预混液中同时含有 6 碱基随机引物和 poly-dT 引物,可覆盖全长目标 RNA。
– LunaScript RT SurperMix
Luna® SARS-CoV-2 多重 RT-qPCR 检测试剂盒用于 SARS-CoV-2 的实时 RT-PCR 检测
对 2019-nCoV_N1 和 2019-nCoV_N2 靶标以及人源 RNase P 基因进行多重检测,支持高通量检测流程
通过将 RNase P 内标的反向引物设计为跨外显子序列,降低基因组 DNA 的扩增背景
4X 浓度的 RT-qPCR 预混液支持更大的上样量,提高检测灵敏度
Luna 温启动反转录酶和热启动 Taq 酶共同提升反应特异性和功效,可在室温条件下建立体系
预混液中包含热敏 UDG 和 dUTP,防止残留污染
支持混合样品池检测,且不影响灵敏度
欲了解 NEB 如何支持 COVID-19 研究,请点击 COVID-19 research,其中详述了多种 RT-qPCR 病毒检测方案
使用 Luna SARS-CoV-2 多重 RT-qPCR 检测试剂盒,在 96 孔板上检测 94 个不同的样本。结果通过荧光通道显示。
Luna® SARS-CoV-2 多重 RT-qPCR 检测试剂盒经过优化,适用于水解探针法的 SARS-CoV-2 实时 RT-PCR 检测。在同一管中,RNA 首先由反转录酶转化为 cDNA,然后使用 DNA 依赖型 DNA 聚合酶扩增 cDNA,从而可以进行 qPCR 定量。基于探针法的 qPCR / RT-qPCR 原理是利用聚合酶的 5´ → 3´ 外切酶活性,将淬灭的目标特异性探针切断发出荧光,并实时监测荧光值的增加,以测量 PCR 每个循环中的 DNA 扩增。在荧光信号显著超过背景荧光的位置,可以确定 Cq 值。Cq 值可用于评估两个或多个样品的靶基因相对丰度。
图 1:Luna® SARS-CoV-2 多重 RT-qPCR 检测试剂盒组分
图 2:Luna SARS-CoV-2 多重 RT-qPCR 检测试剂盒可在一个反应中同时检测两个 N 基因位点和人源 RNase P 基因
A. SARS-CoV-2 的两组引物探针序列源于 CDC 提供,其中探针改为两种荧光标记(N1: HEX, N2: FAM)。
B. RNase P 内标包含 Cy5 标记的探针和重新设计的反向引物。该引物的跨外显子设计,避免了人基因组 DNA(含有 2.4 kb 内含子)的扩增干扰。
SARS-CoV-2 引物/探针混合物包含 SARS-CoV-2 病毒中 N 基因两个区域的引物和探针 [基于美国疾病控制与预防中心(CDC)提供的序列]。两条探针带有不同的荧光标记(N1: HEX;N2: FAM),可在 qPCR 仪器的两个不同通道中同时观测。为了确保检测样品的完整性和无抑制物,还包含一套用于扩增人源 RNase P 基因的内标(IC)引物和探针。该靶基因的反向引物与 CDC 的设计不同,修改为跨外显子序列,以降低残留基因组 DNA 的扩增背景。IC 的扩增可在 Cy5 通道观测。产品同时还提供阳性对照(PC)(含有 SARS-CoV-2 N 基因的质粒)。
该试剂盒包含 Luna 通用探针一步法 RT-qPCR 4X 预混液,含 UDG(NEB #M3019),支持更大的上样量和混合样品池检测,对灵敏度和特异性的影响极小。该预混液包含一步法 RT-qPCR 的所有组分,和独特校对参比染料,可与多种 qPCR 仪器兼容,包括需要高 ROX 或低 ROX 参比信号的仪器。独具特色的是:预混液还包含防止残留污染的热敏 UDG 和 dUTP,以及有助于体系建立的无荧光可见示踪染料。该示踪染料与 qPCR 常用荧光基团的光谱没有重叠,因此不会干扰实时检测。
图 3:Luna SARS-CoV-2 多重 RT-qPCR 检测试剂盒的检测下限比 TaqPath™1-Step RT-qPCR Master Mix, CG 更低

将下述两种试剂盒进行检测下限(LOD)比较:使用 Luna SARS-CoV-2 多重 RT-qPCR 检测试剂盒对 2019-nCoV_N1(HEX)和 2019-nCoV_N2(FAM)进行多重 RT-qPCR 检测,实验设置参照 E3019 产品说明书;使用 TaqPath 1-Step RT-qPCR Master Mix, CG 对 2019-nCoV_ N1(FAM)和 2019-nCoV_N2(FAM)进行单重 RT-qPCR 检测,实验设置参照美国疾控中心 2019-nCoV 实时 RT-PCR 诊断指南。实验样品:将 Twist 公司合成的 SARS-CoV-2 RNA 对照 2 掺入到 10 ng Jurkat 总 RNA 中。实验仪器为 Applied Biosystems® 7500 Fast 实时荧光定量仪 (96 孔板,20 µl 反应体系)。结果显示 Luna 试剂盒对两个靶标的检测下限为 5 拷贝/反应,而 TaqPath 为 10 拷贝/反应。
图 4:Luna SARS-CoV-2 多重 RT-qPCR 检测试剂盒适用于纯化 RNA 的混合样品池检测

通过将一份 2 µl 的模拟阳性样品(10 拷贝的 Twist 合成 SARS-CoV-2 RNA 对照 2 掺入到 10 ng Jurkat 总 RNA)与四份 2 µl 的模拟阴性样品(仅含 10 ng Jurkat 总 RNA)混合,制备出包含五份样品的混合样品池。将混合样品池(10 µl)与单独样品(2 µl,含 10 拷贝 N 基因和 10 ng Jurkat 总 RNA)进行性能比较。实验仪器为 Applied Biosystems® 7500 Fast 实时荧光定量仪(96 孔板,20 µl 反应体系)。N1 和 N2 靶标的扩增曲线显示,单独和掺入混合样品池的阳性样品 Cq 值相似。由于混合样品池中人源总 RNA 量是单独样品的 5 倍,因此正如预期,混合样品池 RNase P 基因的 Cq 值更小。
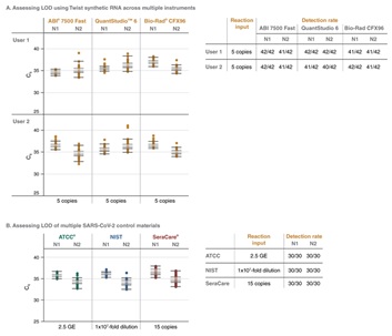
图 5:Luna SARS-CoV-2 多重 RT-qPCR 检测试剂盒的检测下限(LOD)

通过 Luna SARS-CoV-2 多重 RT-qPCR 检测试剂盒对多种 SARS-CoV-2 RNA 对照样品中的 2019-nCoV_N1(HEX)和 2019-nCoV_N2(FAM)靶标进行多重 RT-qPCR 检测,获得该试剂盒的检测下限(LOD)。实验样品:将 Twist 公司合成的 SARS-CoV-2 RNA 对照 2 掺入到 10 ng Jurkat 总 RNA 中(图 A)。两位实验人员同时使用三种仪器进行平行测试(96 孔板,20 µl 反应体系):Applied Biosystems(ABI)7500 Fast Real-Time instrument、ABI QuantStudio™ 6 Flex Real-Time PCR system,以及 Bio-Rad CFX instrument。结果显示:Twist RNA 的检测下限均为 5 拷贝/反应。此外还测试了其它样品类型(图 B):SARS-CoV-2 基因组 RNA 源自 ATCC(ATCC® VR-1986D™)、NIST(Fragment 1 – Includes SARS-CoV-2 sequence: 25949-29698 of isolate USA-WA1/2020),以及 SeraCare AccuPlex™ SARS-CoV-2 Verification Panel V2(0505-0132)。上述 RNA 均由 Monarch 总 RNA 小量提取试剂盒(NEB# T2010)提取。所有 RNA 样品均掺入到 10 ng Jurkat 总 RNA,使用 ABI 7500 Fast Real-Time instrument 检测。假设 RNA 提取的回收率为 100%,则各样品检测下限为:ATCC 的 SARS-CoV-2 基因组 RNA 为 2.5 GE(genomic copy equivalent)、NIST SARS-CoV-2 测试样品为 1×107 倍稀释、SeraCare AccuPlex 样品为 15 拷贝。
图 6:与 TaqPath 1-Step RT-qPCR Master Mix CG相比,Luna 通用探针一步法 RT-qPCR 4X 预混液,含 UDG 对 SARS-CoV-2 N2 靶标的检测性能更好

A. 使用 Luna 通用探针一步法 RT-qPCR 4X 预混液,含 UDG 对 2019-nCoV_1(HEX)和 2019-nCoV_N2(FAM)进行单重 RT-qPCR,实验设置参照 E3019 产品说明书。B. 使用 TaqPath 1-Step RT-qPCR Master Mix, CG 对 2019-nCoV_N1(FAM)和 2019-nCoV_N2(FAM)进行单重 RT-qPCR,实验设置参照美国疾控中心 2019-nCoV 实时 RT-PCR 诊断指南。实验样品:将 Twist 公司合成的 SARS-CoV-2 RNA 对照 2 掺入到 10 ng Jurkat 总 RNA 中,实验评估了样品 5-log 浓度范围扩增结果。实验仪器为 Applied Biosystems® 7500 Fast 实时荧光定量仪(96 孔板,20 µl 反应体系)。在上述条件下,Luna 和 TaqPath 对 N1 靶标的扩增结果都很好。对于 N2 靶标,尽管 TaqPath 可检测 10 个拷贝样品,但线性度并不理想,而 Luna 线性度更好,且 Cq 值出现更早。
Luna 通用探针一步法 RT-qPCR 4X 预混液,含 UDG 结合了热启动 Taq DNA 聚合酶和具有新型温启动活性的反转录酶,可通过基于适配体的可逆抑制来双重控制酶的活性,这种温控活化机制可避免热循环前的非特异引物结合和扩增,从而让室温建立体系更安全。经改造的 Luna 温启动反转录酶具有更高的热稳定性,最佳反应温度为 55°C。
图 7:Luna RT-qPCR 预混液的室温稳定性让实验流程更灵活

使用 Luna 通用探针一步法 RT-qPCR 4X 预混液,含 UDG 对2019-nCoV_N1(HEX)和 2019-nCoV_N2(FAM)进行单重(SP)和多重(MP)RT-qPCR,实验设置参照 E3019 产品说明书。使用 TaqPath 1-Step RT-qPCR Master Mix, CG 对 2019-nCoV_N1(FAM)和 2019-nCoV_N2(FAM)进行单重 RT-qPCR,实验设置参照美国疾控中心 2019-nCoV 实时 RT-PCR 诊断指南。实验样品:将 Twist 公司合成的 SARS-CoV-2 RNA 对照 2 掺入到 10 ng Jurkat 总 RNA 中,实验评估了样品 5-log 浓度范围(100,000-10 拷贝)的扩增结果。上机前,将 RT-qPCR 反应体系分别室温孵育 0、2、5、24 小时。实验仪器为 Applied Biosystems® 7500 Fast 实时荧光定量仪(96 孔板,20 µl 反应体系)。结果显示 Luna 通用探针一步法 RT-qPCR 预混液孵育 0-24 小时的实验结果一致,而 TaqPath 孵育 2 小时后,Cq值延迟≥1,实验效果随孵育时间的延长而下降。



使用 LunaScript 反转录预混液试剂盒(无引物)将 1 μg Jurkat 总 RNA 反转录成 cDNA,引物为 d(T))23VN,使用标准反应条件 55℃ 孵育 10 分钟,95℃ 孵育 1 分钟。之后使用不同 PCR 扩增试剂对 cDNA 产物进行检测。对于 5 kb以内的常规应用,建议使用 OneTaq 2X 预混液(NEB #M0482);对于高保真扩增,建议使用 Q5 热启动超保真 2X 预混液(NEB #M0494);对于长片段高产量扩增,建议使用 LongAmp Taq 2X 预混液(NEB #M0287)(数据未显示)
无需纯化,直接从细胞到 RNA 定量
• 试剂盒包含 100 次裂解反应和 500 次染料一步法 RT-qPCR 反应
• 有效裂解多种细胞系的 10 至 10 万个细胞
• 仅需 15 分钟即可完成细胞裂解、RNA 释放和基因组 DNA 去除
• 联合使用 LunaWarmStart® RT 和 Hot Start Taq,提高了热稳定性,且可在室温下建立反应体系
• 可单独购买裂解模块:Luna Cell Ready 裂解模块(NEB#E3032)
概述
Luna Cell Ready 染料一步法 RT-qPCR 试剂盒为直接染料法 RNA 检测和定量提供了所有必要的组分,且无需进行 RNA 提取和纯化。Luna Cell Ready 染料一步法 RT-qPCR 试剂盒包括:1)Luna Cell Ready 裂解模块(NEB#E3032S)和 2)Luna 通用一步法 RT-qPCR Kit(NEB#E3005L)。
细胞培养常用于替代活体生物来分析基因表达或对治疗的反应。传统上使用柱提法或化学试剂法从处理过的细胞中提取和纯化 RNA。
Luna Cell Ready 裂解模块整合了 DNase I 和 Luna Cell Ready 蛋白酶的功能,仅需 15 分钟即可完成细胞裂解、RNA 释放和基因组 DNA 去除。裂解模块包含独特的 Luna Cell Ready RNA 保护试剂,可在细胞裂解过程中保持 RNA 完整性。50 µl 裂解体系下可对 10-10 万个细胞进行裂解反应。2 µl 裂解产物 (相当于 0.2–4000 个细胞的 RNA) 即可实现 20 µl 体系的 RT-qPCR 反应。与其它 Luna 产品一样,裂解缓冲液包含惰性蓝色示踪染料,使整个加样流程可视化。
Luna 通用一步法 RT-qPCR 试剂盒可兼容大多数实时荧光定量仪器的 SYBR/FAM 荧光通道,进行目标 RNA 的实时定量分析。在该试剂盒中,联合使用热启动 Taq DNA 聚合酶与新型 Luna WarmStart 反转录酶,通过适配体可逆抑制来双重控制酶活性。Luna 通用一步法 RT-qPCR 试剂盒可以直接将 Luna Cell Ready 裂解模块制备的细胞裂解物中的 RNA 转录本进行检测和定量。
下表列出的细胞系可使用 Luna Cell Ready 裂解模块裂解。这些细胞进行 5 log 梯度稀释(100000-10 细胞/50 µl 裂解反应),并取 1 ul 裂解产物进行 20 µl 体系的一步法 RT-qPCR 反应。每个细胞系的线性结果区域显示在最后一列。此外,经测试一些昆虫细胞系也能用上述裂解液裂解。
|
细胞系 |
|
|
特性 |
菌种 |
50 ml 裂解体系中的细胞数量 |
|
A549 |
Adherent |
H. sapiens, Lung, carcinoma |
10 – 100,000 |
|
HEK293 |
Adherent |
H. sapiens, Kidney |
10 – 100,000 |
|
HeLa |
Adherent |
H. sapiens, Cervix, adenocarcinoma |
10 – 100,000 |
|
HepG2 |
Adherent |
H. sapiens, Liver, carcinoma |
10 – 100,000 |
|
NCI-H460 |
Adherent |
H. sapiens, Lung, carcinoma |
10 – 100,000 |
|
SK-N-SH |
Adherent |
H. sapiens, Brain, Neuroblastoma |
10 – 100,000 |
|
U2Os |
Adherent |
H. sapiens, Bone, osteosarcoma |
10 – 10,000 |
|
Jurkat |
Suspension |
H. sapiens, T lymphocyte, leukemia |
10 – 100,000 |
|
K-562 |
Suspension |
H. sapiens, Lymphoblast, leukemia |
10 – 1,000 |
图一:Luna Cell Ready 一步法 RT-qPCR 实验流程

Luna Cell Ready 一步法 RT-qPCR 试剂盒提供了直接从细胞(50 µl 体系可裂解高达 10 万个细胞)到 RNA 检测和定量的所有组分。Luna Cell Ready 裂解模块整合了 DNase I 和 Luna Cell Ready 蛋白酶的功能,仅需 15 分钟即可完成细胞裂解、RNA 释放和基因组 DNA 去除。2 µl 裂解产物(相当于 0.2–4000 个细胞中的 RNA)即可实现 20 µl 体系的 RT-qPCR 反应。
图二:Luna Cell Ready 染料一步法 RT-qPCR 试剂盒可直接对 5-log 梯度稀释细胞的裂解物进行灵敏精准的 RNA 定量

梯度稀释的 A549 细胞(100,000-10)使用标准反应条件(37°C 裂解 10 分钟,25°C 灭活 5 分钟),在 50 µl 的 Luna Cell Ready 裂解体系(NEB#E3032)中裂解。使用 Luna 通用一步法 RT-qPCR 试剂盒(NEB#E3005)加入 1 μl 细胞裂解物(相当于 20 μl RT-qPCR 反应体系中 0.2-2,000 个细胞)对目的基因(GOI)进行定量,每个浓度的样品都做了重复。结果展示了两个高频靶标(A):β-actin 和一个低频靶标(B):SMG1。右图展示了扩增效率(E)和线性关系(R2)。
图三:Luna Cell Ready 染料一步法 RT-qPCR 试剂盒与提纯 RNA 均可对 5-logs 细胞梯度样品进行精准可信的 RNA 定量

梯度稀释的 A549 细胞(100,000-10)使用标准反应条件(37°C 裂解 10 分钟,25°C 灭活 5 分钟),在 50 µl 的 Luna Cell Ready 裂解体系(NEB#E3032)中裂解,也可使用柱提法提纯 RNA。A.使用 Luna 通用一步法 RT-qPCR 试剂盒(NEB#E3005)对目的基因(GOI)进行定量,加入 1 μl 细胞裂解物(实心圆)或纯化的 RNA(空心圆)(相当于 20 µl RT-qPCR 反应中有 0.2-2,000 个细胞),每个浓度的样品都做了重复。左图:在 5-logs 细胞梯度中检测高频靶标 β-actin和两个低频靶标 ARF3 和 Tubulin。每个靶标的扩增效率在图中左下方显示。B.在 A 图中 5-log 细胞梯度稀释样品的目标基因相对于 β-actin 的 Cq 值(ΔCq(GOI)),平均 Cqs 通过横线指示。
图四:Luna Cell Ready 染料一步法 RT-qPCR 试剂盒的扩增效率及灵敏度均优于其它市售的细胞裂解一步法 RT-qPCR 试剂盒。

梯度稀释的 A549 细胞(100,000-10)使用标准反应条件,在 50 µl 的 Luna Cell Ready 裂解体系(NEB#E3032)中裂解。相同的样品使用 Bio-Rad(SingleShot SYBR Green One-Step Kit, #172-5095)、Qiagen(SingleShot SYBR Green One-Step Kit, #172-5095)和 Thermo Fisher(Cells-to-CT 1-Step PowerSYBR Green Kit, A25600)并分别按照厂家说明书进行裂解。然后使用每个试剂盒中的一步法 RT-qPCR 模块,加入 1 μl 细胞裂解物(相当于 20 μl RT-qPCR 反应体系中 0.2-2,000 个细胞),对目的基因进行定量,每个浓度的样品都做了重复。对于所有试剂盒,5-log 梯度稀释细胞均显示了 β-actin,(高频靶标)和 RPL32、Tubulin (低频靶标)的扩增。为了使结果标准化,将总荧光的 12% 设置为阈值。图中显示了扩增效率(E)及最高与最低的 Cq 值。
图五:对 24 个靶标测试显示,Luna Cell Ready 染料一步法 RT-qPCR 试剂盒与其它市售的细胞裂解一步法 RT-qPCR 试剂盒相比,灵敏度最高。

2500 个 A549 细胞,使用标准反应条件,在 50 µl 的 Luna Cell Ready 裂解体系(NEB#E3032)中裂解。或使用市售的 Bio-Rad(SingleShot SYBR Green One-Step Kit, #172-5095)、Qiagen(SingleShot SYBR Green One-Step Kit, #172-5095)和 Thermo Fisher(Cells-to-CT 1-Step PowerSYBR Green Kit, A25600)并分别按照厂家说明书进行裂解。每个试剂盒做两个生物重复。然后使用来自每个试剂盒的一步法 RT-qPCR 模块,加入 1 μl 细胞裂解物(相当于 20 µl RT-qPCR 反应中 50 个细胞),对 24 个目标基因进行定量,每个生物样品均做重复。结果显示了 NEB (实心橙色圆圈),BioRad(空心正方形),Qiagen(空心三角形)和 Thermo Fisher(十字形)的平均 Cqs。为了使结果标准化,将总荧光的 12% 设置为阈值。Luna Cell Ready 染料一步法 RT-qPCR 试剂盒显示了不同表达水平下 23/24 的基因 Cq 值最早,平均比 Bio-Rad 快2.3 Cq,比 Qiagen 快 3.8 Cq,比 Thermo Fisher 快 3.6 Cq。
随该产品提供的试剂
|
储存(°C) |
|
|
浓度 |
|
|
Luna Cell Ready Lysis Buffer |
-20 |
2 X |
|
Luna Cell Ready RNA Protection Reagent |
-20 |
25 X |
|
Luna Cell Ready Protease |
-20 |
25 X |
|
Luna Cell Ready Stop Solution |
-20 |
10 X |
|
DNase I (RNase-free) |
-20 |
10 X |
|
Luna® WarmStart® RT Enzyme Mix |
-20 |
20 X |
|
Luna® Universal One-Step Reaction Mix |
-20 |
2 X |
|
Nuclease-free Water |
-20 |
实验需要但不提供的试剂耗材
• 磷酸盐缓冲液(PBS)
• 目标特异性引物
• 细胞
• Eppendorf 管,PCR 联管
• PCR 板
• qPCR 仪器
• 移液器和枪头(为减少交叉污染,应使用带滤芯的枪头)
储存温度: -20℃
无需纯化,直接从细胞到 RNA 定量
• 试剂盒包含 100 次裂解反应和 500 次探针一步法 RT-qPCR 反应
• 有效裂解多种细胞系的 10 至 10 万个细胞
• 仅需 15 分钟即可完成细胞裂解、RNA 释放和基因组 DNA 去除
• 配合使用 LunaWarmStart® RT 和 Hot Start Taq,提高了热稳定性且可在室温下建立反应体系
• 可单独购买裂解模块:Luna Cell Ready 裂解模块(NEB#E3032)
概述
Luna Cell Ready 探针一步法 RT-qPCR 试剂盒为直接探针法 RNA 检测和定量提供了所有必要的组分,且无需进行 RNA 提取和纯化。Luna Cell Ready 探针一步法 RT-qPCR 试剂盒包含两个模块:1)Luna Cell Ready 裂解模块(NEB#E3032S)和 2)Luna 通用探针一步法 RT-qPCR Kit(NEB#E3006L)。
细胞培养常用于替代活体生物来分析基因表达或对治疗的反应。传统上使用柱提法或化学试剂法从处理过的细胞中提取和纯化 RNA。
Luna Cell Ready 裂解模块整合了 DNase I 和 Luna Cell Ready 蛋白酶的功能,仅需 15 分钟即可完成细胞裂解、RNA 释放和基因组 DNA 去除。裂解模块包含独特的 Luna Cell Ready RNA 保护试剂,可在细胞裂解过程中保持 RNA 完整性。50 µl 裂解体系下可对 10-10 万个细胞进行裂解反应。2 µl 裂解产物 (相当于 0.2–4000 个细胞的 RNA) 即可实现 20 µl 体系的 RT-qPCR 反应。与其它 Luna 产品一样,裂解缓冲液包含惰性蓝色示踪染料,使整个加样流程可视化。
Luna 通用探针一步法 RT-qPCR 试剂盒可兼容大多数实时荧光定量仪器的各个通道,进行目标 RNA 的实时定量分析。在该试剂盒中,联合使用热启动 Taq DNA 聚合酶与新型 Luna WarmStart 反转录酶,通过适配体可逆抑制来双重控制酶活性。Luna 通用探针一步法 RT-qPCR 试剂盒可以直接将 Luna Cell Ready 裂解模块制备的细胞裂解物中的 RNA 转录本进行检测和定量(单重或多重)。
下表列出的细胞系可使用 Luna Cell Ready 裂解模块裂解。这些细胞进行 5 log 梯度稀释(100000-10 细胞/50 µl 裂解反应),并取 1 ul 裂解产物进行 20 µl 体系的一步法 RT-qPCR 反应。每个细胞系的线性结果区域显示在最后一列。此外,经测试一些昆虫细胞系也能用上述裂解液裂解。
表一:经验证过的细胞系
|
细胞系 |
|
|
特性 |
菌种 |
50 ml 裂解体系中的细胞数量 |
|
A549 |
Adherent |
H. sapiens, Lung, carcinoma |
10 – 100,000 |
|
HEK293 |
Adherent |
H. sapiens, Kidney |
10 – 100,000 |
|
HeLa |
Adherent |
H. sapiens, Cervix, adenocarcinoma |
10 – 100,000 |
|
HepG2 |
Adherent |
H. sapiens, Liver, carcinoma |
10 – 100,000 |
|
NCI-H460 |
Adherent |
H. sapiens, Lung, carcinoma |
10 – 100,000 |
|
SK-N-SH |
Adherent |
H. sapiens, Brain, Neuroblastoma |
10 – 100,000 |
|
U2Os |
Adherent |
H. sapiens, Bone, osteosarcoma |
10 – 10,000 |
|
Jurkat |
Suspension |
H. sapiens, T lymphocyte, leukemia |
10 – 100,000 |
|
K-562 |
Suspension |
H. sapiens, Lymphoblast, leukemia |
10 – 1,000 |
图一:Luna Cell Ready 一步法 RT-qPCR 实验流程

Luna Cell Ready 一步法 RT-qPCR 试剂盒提供了直接从细胞(50 µl 体系可裂解高达 10 万个细胞)到 RNA 检测和定量的所有组分。Luna Cell Ready 裂解模块整合了 DNase I 和 Luna Cell Ready 蛋白酶的功能,仅需 15 分钟即可完成细胞裂解、RNA 释放和基因组 DNA 去除。2 µl 裂解产物(相当于 0.2–4000 个细胞中的 RNA)即可实现 20 µl 体系的 RT-qPCR 反应。
图二:Luna Cell Ready 探针一步法 RT-qPCR 试剂盒可直接对 5-log 梯度稀释细胞的裂解物进行灵敏精准的 RNA 定量

梯度稀释的 A549 细胞(100,000-10)使用标准反应条件(37°C 裂解 10 分钟,25°C 灭活 5 分钟),在 50 µl 的 Luna Cell Ready 裂解体系(NEB#E3032)中裂解。使用 Luna 通用探针一步法 RT-qPCR 试剂盒(NEB#E3006),加入 1 μl 细胞裂解物(相当于 20 μl RT-qPCR 反应体系中 0.2-2,000 个细胞)对目的基因进行定量,每个浓度的样品都做了重复。结果展示了两个高频靶标:β-actin(Texas Red)和 GAPDH(FAM),一个低频靶标:RPL32(HEX),的多重结果(A)和单重结果(B),以及相应的扩增效率(E)和线性关系(R2)。(C)所有三个目标的多重和单重的 Cq 叠加证明了这些结果的一致性。
三:Luna Cell Ready 探针一步法 RT-qPCR 试剂盒与提纯 RNA 均可对 5-logs 细胞梯度样品进行精准可信的 RNA 定量

梯度稀释的 A549 细胞(100,000-10)使用标准反应条件(37°C 裂解 10 分钟,25°C 灭活 5 分钟),在 50 µl 的 Luna Cell Ready 裂解体系(NEB#E3032)中裂解,也可使用柱提法提纯 RNA。A.使用 Luna 通用探针一步法 RT-qPCR 试剂盒(NEB#E3006)对目的基因进行定量,加入 1 μl 细胞裂解物(实心圆,左)或纯化的 RNA(空心圆,右)(上样量相当于 20 µl RT-qPCR 反应中有 0.2-2,000 个细胞),每个浓度的样品都做了重复。在 5-logs 细胞梯度中检测高频靶标 β-actin 和两个低频靶标 ARF3 和 Tubulin。每个靶标的扩增效率在图中左下方显示。
图四:Luna Cell Ready 染料一步法 RT-qPCR 试剂盒的扩增效率及灵敏度均优于其它市售的细胞裂解一步法 RT-qPCR 试剂盒。

梯度稀释的 A549 细胞(100,000-10)使用标准反应条件,在 50 µl 的 Luna Cell Ready 裂解体系(NEB#E3032)中裂解。相同的样品使用 Bio-Rad(SingleShot™ Probes One-Step Kit for Cell Lysis and RT-qPCR, #172-5070)、Qiagen(FastLane Cell Probe Kit, #216413)和 Thermo Fisher(Cells-to-CT 1-Step TaqMan Kit, A25603)并分别按照厂家说明书进行裂解。然后使用每个试剂盒中的一步法 RT-qPCR 模块,加入 1 μl 细胞裂解物(相当于 20 μl RT-qPCR 反应体系中 0.2-2,000 个细胞),对目的基因进行定量,每个浓度的样品都做了重复。5-log 梯度稀释的细胞通过多重实验测试了 β-actin (Tye)、GAPDH (FAM)和 RPL32 (Cy5)的扩增。为了使结果标准化,将每个试剂盒总荧光值的 10%(Tye)、5%(FAM)、15%(Cy5)设置为阈值。图中显示了扩增效率(E)及最高与最低的 Cq 值。
随该产品提供的试剂
|
储存(°C) |
浓度 |
|
|
Luna Cell Ready Lysis Buffer |
-20 |
2 X |
|
Luna Cell Ready RNA Protection Reagent |
-20 |
25 X |
|
Luna Cell Ready Protease |
-20 |
25 X |
|
Luna Cell Ready Stop Solution |
-20 |
10 X |
|
DNase I (RNase-free) |
-20 |
10 X |
|
Luna® WarmStart® RT Enzyme Mix |
-20 |
20 X |
|
Luna® Universal Probe One-Step Reaction Mix |
-20 |
2 X |
|
Nuclease-free Water |
-20 |
实验需要但不提供的试剂耗材
• 磷酸盐缓冲液(PBS)
• 目标特异性引物
• 细胞
• Eppendorf 管
• PCR联管
• PCR 板
• qPCR 仪器
• 移液器和枪头(为减少交叉污染,应使用带滤芯的枪头)
储存温度:-20℃
细胞培养常用于替代活体生物来分析基因表达或对治疗的反应。传统上使用柱提法或化学试剂法从处理过的细胞中提取和纯化 RNA.Luna Cell Ready 裂解模块无需进行传统的 RNA 提取步骤即可评估RNA表达水平,是一种快速、方便且灵敏的替代方案。该模块可同时进行细胞裂解、RNA 释放、基因组 DNA 去除,获得的细胞裂解物可直接使用Luna通用一步法 RT-qPCR 试剂盒进行 RT-qPCR 分析。与其它 Luna 产品一样,裂解缓冲液包含惰性蓝色示踪染料,使整个加样流程可视化。
下表列出的细胞系可使用 Luna Cell Ready 裂解模块裂解。这些细胞进行 5 log 梯度稀释(100000-10 细胞/50 µl 裂解反应),并取 1 ul 裂解产物进行 20 µl 体系的一步法 RT-qPCR 反应。每个细胞系的线性结果区域显示在最后一列。此外,经测试一些昆虫细胞系也能用上述裂解液裂解。
表一:经验证过的细胞系
|
细胞系 |
特性 |
菌种 |
50 ml 裂解体系中的细胞数量 |
|
A549 |
Adherent |
H. sapiens, Lung, carcinoma |
10 – 100,000 |
|
HEK293 |
Adherent |
H. sapiens, Kidney |
10 – 100,000 |
|
HeLa |
Adherent |
H. sapiens, Cervix, adenocarcinoma |
10 – 100,000 |
|
HepG2 |
Adherent |
H. sapiens, Liver, carcinoma |
10 – 100,000 |
|
NCI-H460 |
Adherent |
H. sapiens, Lung, carcinoma |
10 – 100,000 |
|
SK-N-SH |
Adherent |
H. sapiens, Brain, Neuroblastoma |
10 – 100,000 |
|
U2Os |
Adherent |
H. sapiens, Bone, osteosarcoma |
10 – 10,000 |
|
Jurkat |
Suspension |
H. sapiens, T lymphocyte, leukemia |
10 – 100,000 |
|
K-562 |
Suspension |
H. sapiens, Lymphoblast, leukemia |
10 – 1,000 |
图一:Luna Cell Ready 一步法 RT-qPCR 实验流程

Luna Cell Ready 裂解模块整合了 DNase I 和 Luna Cell Ready 蛋白酶的功能,可简单高效的进行细胞裂解,仅需 15 分钟即可完成细胞裂解、RNA 释放和基因组 DNA 去除。2 µl 裂解产物(相当于 0.2–4000 个细胞中的 RNA)即可实现 20 µl 体系的 RT-qPCR 反应。
试剂盒组分
随该产品提供的试剂
|
储存(°C) |
浓度 |
|
|
Luna Cell Ready Lysis Buffer |
-20 |
2 X |
|
Luna Cell Ready RNA Protection Reagent |
-20 |
25 X |
|
Luna Cell Ready Protease |
-20 |
25 X |
|
Luna Cell Ready Stop Solution |
-20 |
10 X |
|
DNase I (RNase-free) |
-20 |
10 X |
实验需要但不提供的试剂耗材
储存温度
-20℃
快速、灵敏、精确的实时荧光染料定量检测 DNA 和 cDNA
使用实时荧光染料定量 PCR 时,最常用的荧光染料是 SYBR® Green I,后者与双链 DNA 结合,检测每个 PCR 循环中的 DNA 扩增情况。Cq 值是循环数量值,即检测到的荧光信号超过背景本底信号域值所经历的循环数,该 Cq 值可用于评估两个或两个以上的样本之间的相对丰度,也可以与已知浓度系列稀释的标准曲线进行对比,读取样本绝对值。
NEB Luna Universal qPCR Master Mix 是经过优化的 2X 预混液,可以用于实时定量 PCR检测和目标 DNA 的定量,适用于具有 SYBR®/FAM 通道的大部分 qPCR 设备。预混液含有热启动 Taq DNA 聚合酶及独特校正染料,与一系列 qPCR 设备兼容;预混液中使用了 dUTP,以防止产物残留污染;预混液中还加有非荧光染料,便于建立反应时进行肉眼观察,该染料的光谱与 qPCR 荧光染料不重叠,因此不会影响到实时检测数值。
预混液为 2X,包含除了模板和引物以外,用于 PCR 扩增和定量检测的所有组分。可以使用商业化的 qPCR 分析引物,用 Luna qPCR 产品进行基因组 DNA 或者 cDNA 的定量分析。
图表一:NEB 的 Luna Universal qPCR Master Mix 为 qPCR 带来更高灵敏度及可重复性

使用 Luna Universal qPCR Master Mix 检测目标中 GAPDH 基因的表达情况,模板为 6个分别 10 倍稀释的 Jurkat cDNA (20 ng – 0.2 pg),每个浓度的样品做8个复孔。cDNA 是使用 NEB Protoscript® II First Strand cDNA Synthesis Kit (NEB #E6560) 从 Jurkat 的总 RNA 反转录得来。
图表二:NEB 的 Luna Universal qPCR Master Mix 为不同来源的 DNA 都能提供更高灵敏度和精确度的检测和定量

Luna Universal qPCR Master Mix 可以检测不同来源的基因组 DNA。使用 ABI 7500 快速荧光定量仪器,50 ng – 0.5 pg 的基因组 DNA 对目标进行实时定量检测。基因组 DNA使用传统的柱纯化方法纯化。无论从小鼠肾脏的基因组检测 ACTB 基因、烟草基因组 DNA 检测 psbB 基因、还是从酵母基因组 DNA 中检测 rdn18S,Luna 产品都有非常优秀的表现。
图表三:通过与市场上基于染料的 qPCR 试剂对比,NEB 的 Luna 产品体现出了更优的稳定性和特异性

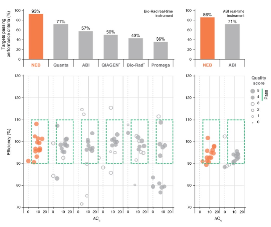
使用 NEB 公司和其它供应商的试剂,分别对来自于 Jurkat 基因组 DNA或 Jurkat cDNA不同丰度、长度和 GC 含量的 16-18 个目的基因进行检测(使用 Bio-Rad 机器检测 10 个基因组模板和 8 cDNA 模板,使用 ABI 的机器检测9个基因组模板和7 个 cDNA 模板)。每份检测结果由两个实验者根据厂商要求分别得到。使用反应效率、最低检测值以及无模板扩增来衡量结果(ΔCq = average Cq of lowest input – average Cq of non-template control)。此外,一致性、可重复性以及曲线的整体质量评估也作为实验的参考(标准分数)。上面的点状图展示了符合可接受的性能标准的百分比(绿框圈起来的点的标准分>3)。不同厂商的结果如上图所示,从左到右分别是:NEB;Bio-Rad, SsoAdvanced™ Universal SYBR® Green Supermix; Roche, FastStart™ SYBR Green Master; QIAGEN, QuantiTect® SYBR Green PCR Kit; ABI, PowerUP™ SYBR Green Master Mix; Promega®, GoTaq® qPCR Master Mix。NEB 的Luna Universal qPCR Master Mix 表现优于所有其它供应商试剂的结果。
1. 引物设计
使用相关软件(如 Primer 3)设计 qPCR 引物时,在减少非特异性扩增和引物二聚体的情况下提高扩增成功率。引物的 GC 含量为 40–60% 可以保证最大的扩增效率。在可能的情况下,尽可能多的输入目标周围区域序列,以便引物序列设计更加完善。使用检索功能,检索相关数据库以避免非特异性扩增。如果模板是 cDNA ,在设计引物的时候可以跨内含子区域来避免基因组的非特异性扩增。相反,如果引物设计在内含子区域则可以保证基因组区域的特异性扩增。
2. 引物浓度
对于大多数模板来说,引物的终浓度 250 nM 就可以达到要求。如果需要的话,引物的浓度可以在 100–500 nM 之间优化。
3. 扩增子长度
为了确保 qPCR 结果的成功和一致性,PCR 效率的最大化非常重要。其中一方面就是设计短的 PCR 产物(70-200 bp)。如果反应产物超出范围,可能需要对实验进行优化(比如增加延伸时间等)
4. 模板准备及相关浓度
Luna qPCR 试剂与通过典型的核酸纯化方法纯化的 DNA 样本都兼容。制备好的 DNA 可以长期稳定储存在包含 EDTA 的缓冲液中(如 1X TE),实验时使用 TE buffer 或者水进行稀释。
一般来说,标准品和未知样品的浓度范围应该在 1 个拷贝到 106 个拷贝之间。如果是大型基因组样本(如人类或老鼠的 gDNA)一般浓度为 50 ng-1 pg。如果是小型基因组样本,可以参考使用1 个拷贝到 106 个拷贝的浓度。对于单一样本的稀释,样本中需要包含多个拷贝和空白对照。对于 cDNA 样本,可以使用 1 μg–0.1 pg 的 RNA 的反转录产物。cDNA 样本不需要纯化,但是在使用之前需要至少稀释 10 倍
5. ROX 校正染料
有些实时定量设备建议使用校正染料(通常是 ROX)来校正由于气泡、微小的体积差别、管与管之间的差异及反应过程中尘埃或者微粒的自发荧光造成的反应差距。Luna Universal qPCR Master Mix 包含了通用型的校正染料,可以兼容不需要使用校正染料以及需要使用低浓度或者高浓度校正染料(ROX)的一系列的荧光定量检测仪器。因此,在使用这些仪器进行 qPCR 实验时,不需要额外的组分。
6. 预防污染
qPCR 是一种非常灵敏的检测方法,前个 qPCR 产物污染下一个样本会带来一系列的问题,如假阳性及灵敏度的下降。防止污染的最好办法就是严格按照程序操作,避免扩增后的开盖。为了进一步满足预防交叉污染的要求,Luna Universal qPCR Master Mix 中包含了 dUTP/dTTP,从而可以在扩增过程中将 U 掺入到 DNA 产物中。qPCR 前使用尿嘧啶 DNA 糖基化酶(UDG)进行预先处理,就可以水解含有尿嘧啶的产物,以防止污染后续试验。使用能够完全失活的 UDG 是至关重要的,否则 UDG 会破坏新合成的 qPCR 产物。
为了避免产物携带污染,在反应体系中加入终浓度为 0.025 units/μl 的南极热敏 UDG(NEB #M0372)。欲将污染的可能性降到最低,最好在室温下建立反应或者在变性步骤前加上
25℃ 温育 10 分钟
7. 反应条件设定
由于聚合酶的热启动性,在实验前不需要预热机器,也不需要在冰上加样。
如果使用96 孔板,建议使用 20 μl 反应体积。
如果使用 384 孔板,建议使用 10 μl 反应体积。在设定仪器的循环条件时,保证在延伸结束时包含一次读板并在循环结束后生成溶解曲线以分析产物的特异性。
大部分应用分析反应 40 个循环就可以,低起始量的样本可以反应 45 个循环。

Luna 通用探针一步法 RT-qPCR 4X 预混液,含 UDG 可精准检测目标 RNA,多重扩增检测性能优异,一次可检测多达 5 个靶标。
· 单管预混液剂型使反应体系的建立更便捷
· 4X 浓度的预混液可增加样品加入量,提高 RT-qPCR 灵敏度
· 一次可检测多达 5 个靶标,增加检测通量
· Luna 温启动反转录酶与 Taq 热启动 DNA 聚合酶联合使用,提高反应特异性及稳定性,并可室温建立体系
· 预混液中包含 UDG 和 dUTP,防止模板残留污染
· 无干扰的可见示踪染料避免加样错误
· 点击 COVID-19 research 了解 NEB 如何将多种 RT-qPCR 病毒检测方法用于新冠研究
Luna 通用探针一步法 RT-qPCR 4X 预混液,含 UDG 用于探针法实时荧光定量检测靶标 RNA。首先反转录酶将 RNA 转化为 cDNA,然后 DNA 聚合酶对 cDNA 进行扩增,完成靶标的实时荧光定量 PCR(qPCR),整个过程在单管内一次性完成。基于探针法的 qPCR / RT-qPCR 原理是利用聚合酶的 5´ → 3´ 外切酶活性,将淬灭的目标特异性探针切断发出荧光,并实时监测荧光值的增加,以测量每个循环中的 DNA 扩增。在荧光信号显著超过背景荧光的位置,可以确定 Cq 值。Cq 值可用于评估两个或多个样品的靶基因相对丰度。



该预混液包含无荧光的可见蓝色示踪染料,有助于透明管加样。该示踪染料与 qPCR 常用荧光基团的光谱没有重叠,也不会干扰实时检测。

Luna 探针一步法 RT-qPCR 4X 预混液,含 UDG(无 ROX)可精准检测目标 RNA,多重扩增检测性能优异,一次可检测多达 5 个靶标。
Luna 探针一步法 RT-qPCR 4X 预混液,含 UDG(无 ROX)用于探针法实时荧光定量检测靶标 RNA。首先反转录酶将 RNA 转化为 cDNA,然后 DNA 聚合酶对 cDNA 进行扩增,完成靶标的实时荧光定量 PCR(qPCR),整个过程在单管内一次性完成。基于探针法的 qPCR / RT-qPCR 原理是利用聚合酶的 5´ → 3´ 外切酶活性,将淬灭的目标特异性探针切断发出荧光,并实时监测荧光值的增加,以测量每个循环中的 DNA 扩增。在荧光信号显著超过背景荧光的位置,可以确定 Cq 值。Cq 值可用于评估两个或多个样品的靶基因相对丰度。




LunaScript 一步法多重 RT-PCR 试剂盒为 cDNA 合成和 PCR 扩增提供了简化方案。其中的 5X 反应预混液含有 dNTPs,经优化适用于多重靶标检测,且操作便捷。其中的 25X 酶预混液含有 Luna WarmStart 反转录酶和 Q5 热启动超保真 DNA 聚合酶。适配体抑制酶活技术可对上述两种酶活进行双重温控,因此可室温建立反应体系,且预混体系可室温稳定保存 24 小时。该试剂盒具备强大的多重靶标扩增能力,适用于诊断、病原体检、病毒基因组测序等多种应用(例如:ARTIC SARS-CoV-2 测序方案,每个反应扩增 ~50 个扩增子)。



概述
– 10X M-MuLV 酶混合液

ProtoScript II cDNA 第一链合成试剂盒

Monarch DNA 纯化离心柱(5 μg)

Monarch PCR & DNA 纯化试剂盒(5 μg)是一款快速可靠的的纯化试剂盒,可从酶学反应中纯化和浓缩高达 5 μg 例如 PCR、酶切、连接和反转录产物。该方法减少结合、漂洗和洗脱过程中的温育和离心时间,5 分钟之内即可完成纯化实验。DNA 纯化结合缓冲液用于稀释样本以确保 DNA 在高盐环境下结合到专有的二氧化硅基质上。DNA 纯化漂洗缓冲液将酶、短链引物(≤40 nt)、变性剂和其它小分子量的反应成分(如核苷酸,DMSO,甜菜碱)去除,从而实现更低体积的洗脱,得到高浓度高纯度的 DNA。洗脱得到的 DNA 可以用于限制性酶切、DNA 测序、连接反应和其它酶学等下游实验。独特的纯化离心柱设计消除了液体残留及污染并且洗脱体积最低可至 6 μl。
• PCR 纯化
– Monarch DNA 纯化离心柱(5 μg)
Taq 、Vent、Deep Vent、Bst 全长、Bst 大片段、Sulfolobus IV 和 Therminator DNA 聚合酶都随酶提供
10X ThermoPol 反应缓冲液,该缓冲液稀释成终浓度为 1X 时含有 2 mM MgSO4。另外还有不含Mg2+的
10X ThermoPol 反应缓冲液,用于要求 Mg2+ 浓度低于 2 mM 的反应。
Taq DNA 聚合酶随酶提供标准 Taq 反应缓冲液,可以替换 ThermoPol 反应缓冲液。
Bst 2.0 和 Bst 2.0 WarmStart DNA 聚合酶都随酶提供等温扩增缓冲液。
Bst 3.0 DNA 聚合酶随酶提供等温扩增缓冲液 II。
Phusion 超保真 DNA 聚合酶随酶提供 5X Phusion HF缓冲液、5X Phusion GC 缓冲液、DMSO 和 50 mMMgCl2。
1X ThermoPol 反应缓冲液:
20 mM Tris-HCl,10 mM KCl,10 mM (NH4)2SO4,2 mM MgSO4 和 0.1% Triton X-100,pH 8.8 @ 25℃。
1X 标准 Taq 反应缓冲液:
10 mM Tris-HCl,50 mM KCl,1.5 mM MgCl2,pH 8.3 @25℃。
1X 等温扩增缓冲液:
20 mM Tris-HCl,10 mM (NH4)2SO4,50 mM KCl,2 mM MgSO4,0.1% Tween-20,pH 8.8 @ 25℃。
1X 等温扩增缓冲液 II :
Taq 、Vent、Deep Vent、Bst 全长、Bst 大片段、Sulfolobus IV 和 Therminator DNA 聚合酶都随酶提供
10X ThermoPol 反应缓冲液,该缓冲液稀释成终浓度为 1X 时含有 2 mM MgSO4。另外还有不含Mg2+的
10X ThermoPol 反应缓冲液,用于要求 Mg2+ 浓度低于 2 mM 的反应。
Taq DNA 聚合酶随酶提供标准 Taq 反应缓冲液,可以替换 ThermoPol 反应缓冲液。
Bst 2.0 和 Bst 2.0 WarmStart DNA 聚合酶都随酶提供等温扩增缓冲液。
Bst 3.0 DNA 聚合酶随酶提供等温扩增缓冲液 II。
Phusion 超保真 DNA 聚合酶随酶提供 5X Phusion HF缓冲液、5X Phusion GC 缓冲液、DMSO 和 50 mMMgCl2。
1X ThermoPol 反应缓冲液:
20 mM Tris-HCl,10 mM KCl,10 mM (NH4)2SO4,2 mM MgSO4 和 0.1% Triton X-100,pH 8.8 @ 25℃。
1X 标准 Taq 反应缓冲液:
10 mM Tris-HCl,50 mM KCl,1.5 mM MgCl2,pH 8.3 @25℃。
1X 等温扩增缓冲液:
20 mM Tris-HCl,10 mM (NH4)2SO4,50 mM KCl,2 mM MgSO4,0.1% Tween-20,pH 8.8 @ 25℃。
1X 等温扩增缓冲液 II :